Reference
NICELAB Seminar
Algorithms for Battery Management course, Prof. Gregory Plett
Lithium Ion Battery - Basic
Lithum Ion Battery properties
- High Cost, 화재 위험 → But, 계속해서 사용하는 이유?
-
Lower Self Discharge Rate
-
Long Life ⇒ More than 500 cycles
.png)
🗯️ Lithium air, Zinc air
- 음극(-)은 공기 중에 사용, 즉 양극(+)만 구성. 부피 ↓ 무게 ↓ → 에너지 밀도 ↑
- Lithium 원자 번호 : 3 → very light! ‘궁극의 베터리’
- But, Both are in the research stage.
Functional Components of an Electrochemical Cell
- 2차 전지의 기본적 구조
- Negative electrode (-)
- Positive electrode (+)
- Electrolyte
- Separator
- Current Collectors
.png)
- Roles of each part
- Negative electrode
- Discharge : 음극(-) 산화 → 전자 배출
- Charge : 음극(-) 환원 → 잔자 수용
- Positive electrode
- Discharge : 양극(+) 환원 → 전자 수용
- Charge : 양극(+) 산화 → 전자 배출
- Electrolyte
- Negative & Positive의 전자 수용 및 배출은 모두 외부 회로에서 이뤄짐
- 이에 상응하여 내부에서는 Ion의 이동(Diffusion 현상)이 필요
- 이동 통로 역할을 수행
- 전자가 외부에서 이동하고 내부에서는 이동하지 않도록 부도체로 구현
- Separator
- +/- 극이 서로 섞이지 않도록 물리적 격리
- 내부 쇼트, 자가 방전 현상 방지
- Current Collectors
- 내부 +/- 입자에서 나온 전자를 회로 밖으로 보내는 역할
- 파우더를 코딩하여 구현
- Negative electrode Current Collectors : 구리
- Positive electrode Current Collectors : 알루미늄
Electorde Structure
-
Lithium → intercalation 저장 방식 (like Sponge in water = Layer structure)
-
These electrodes have two key properties
- Open crystals structures (빈 공간에 리튬 삽입 / 추출)
- Ablilty to accept compensating electrons (전자 수용 능력)
.png)
-
Negative electrode : graphite (흑연)
🗯️ 실리콘 (차세대 재료)
- 흑연보다 10배 이상 리튬 저장
- But 리튬 양에 비례하는 팽창 면에서 오히려 흑연의 성능이 더 좋음 (margin size 확보 우수)
-
Positive electrode : 양극 활물질(리튬 금속 산화물 = 결합형태) (5개 종류 - LCO, NCM, NCA, LMO, LFP)
- 활물질 사용 이유 : 순수 리튬은 화학반응에 예민 ⇒ 불안정 So, make it Stable!
-
아래 화학식 참조 (Left: Negative electrode Right: Positive electrode)
Left: Negative electrode / Right: Positive electrode
-
Powder 입자
Left: Positive electrode Powder / Right: Negative electrode Powder
💡 3가지의 복합 형태
- 활물질 - 화학반응에 직접 관여
- 도전제 - 활물질들의 전도성 ↑
- 바인더 - 잘 섞일 수 있도록 하는 접착제 역할 → 리튬 확산에 기여 (골고루 잘 퍼지도록)
- During charge, Li exits surface of positive-electrode particles, gives up an electron, becoming Li+ in the electrolyte
- Meanwhile, the electron is forced (by charger) through external circuit to negative electrode
- Li+ joins with the electron, and Li enters negative-electrode particles at their surface
- Diffusion of Li in both electrodes equalizes internal concentrations (over time..)
BMS(Battery Management System)
What must a BMS do?
- Protect human safety of device’s operator
- Protect cells of battery from damage in abuse / failure cases
- Prolong life of battery
- Maintain battery in a state in which it can fulfill its functional design requirements
- Inform the application controller how to make the best use of the pack right now
💡 All Lithium-ion battery packs require at least a minimal BMS for safety!!
General BMS functionality
.png)
- Sensing and high-voltage control
- Measure voltage, current, temperature of the each cells
- Pre-charge for control contactor
- Ground-fault detection
- Thermal management
- Protection against over-charge, over-discharge, over-current, short circuit, extreme temperatures
- Interface
- host application interface with Battery
- Performance Management
-
SOC estimation → Power-limit computation → Balance / equalize cells
- 특정 셀만 과충전/과방전 될 수 있기 때문!
- Diagnostics (Abuse Detection : SOH estimation, SOL estimation)
🗯️ Pre-charge?
- 충전 시 전기를 인가할 때 전류가 갑자기 커지는 현상이 발생 → 스위치 자체가 납땜이 되버림
- 이를 극복하기 위해 미리 전압을 커패시터를 통해 충전하여 충전 시 전류가 튀지 않게 하는 방식.
🗯️ Over-Charge in Lithium Battery?
- Dendrite 현상
- 리튬이 많아져서 음극으로 가지 못하고 Electrolyte에 남게됨!
- 이후 쌓여서 뾰족하게 결정체를 이룸
- 결정체가 분리막을 뚫고 음극으로 가 touch 하게 되면 short 현상이 일어나게 됨
- 또한 과전류가 일어나 폭발의 위험성도 있음
🗯️ Over-Discharge in Lithium Battery?
- -극 current collector 구리막이 산화되어 전해질에 녹아들게 됨 → 내부 short 문제 발생
🗯️ Over-Current in Lithium Battery?
- 배터리 내부저항에 의해 $I^2R$에 해당하는 발열 발생
- 배터리 발열 → 전해(질) 끓어버림 / 분리막 녹아버림 → 열폭주 현상
BMS requirement 3 : Interface
-
Charger Control ⇒ Battery packs are charged in two ways
- Random
- Control by providing inverter power limits (e.g., regenerative braking)
- Plug - in
- Control charger current, voltage, balancing with CP/CV (+ CCV).
- Heating systems may also be required.
-
Log Book Function
- For warrantee and Diagnostic purpose, BMS must store a log of atypical/abuse events
- Can also store Diagnostic information regarding number of charge/discharge cycles completed & SOH estimates at beginning of each driving cycle
-
Range Estimation
- Heavily influenced by environmental factors
- 베터리 제조사의 requirement에 따라가기 때문에 (제약) 현재 자동차 제조사마다 각자의 알고리즘을 보유. (자체 BMS 알고리즘 개발 대두)
🗯️ Regenerative Braking?
- 제동 시 관성력을 통해 회전자를 돌려 전동기를 발전기 기능으로 작동하게 함으로써 운동 에너지를 전기 에너지로 변환하는 전기 제동 방법
🗯️ CP/CV
- 기준치를 두어 (예: 충전량 80%) 해당 기준치 아래는 일정한 Power로 충전하고, 기준치를 넘어갈 때는 일정한 전압으로 충전하는 방식
- 위 방법 외에도 다양한 방법이 있을 수 있음. 현재는 CP/CV를 많이 쓰는 경향이 있음.
- Battery applications need to know two battery quantities
- How much energy is available? → in battery pack
- How much power is available? → for immdiate future
- Must estimate these values
- To estimate energy : cell-states-of-charge $Z_k$ (unit: %) and capacities $Q_k$
- To estimate power : cell-states-of-charge $Z_k$ (unit: %) and resistances $R_k$
Physical basis for cell SOC
-
$C_{s, max}$ is maximum theoretical concentration(농도) of lithium in electrode particle.
-
$C_{s, avg,k}$ is average concentration of Li in particle at time $k$
-
Present lithium stoichiometry(전극의 SOC) is $\theta_k = C_{s,avg,k} / C_{s,max}$
💡 $\theta_k$ is a kind of electrode SOC, different from cell SOC!
-
cell SOC is like :
.png)
How does SOC relate to cell voltage?
- Cell voltage depends on Li surface concentration in particles that contact positive and negative current collectros
- SOC depends on average concentration over entire electrode
- Average concentration is not affected by
- Changing temperature → changes cell voltage
- Resting a cell (Diffusion) → changes cell voltage
- In summary, SOC changes only due to passage of current, or due to self-discharge within the cell
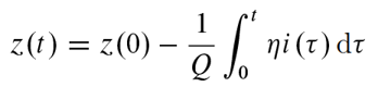
How does SOC relate to cell current?
-
SOC is related to cell current via
.png)
-
$\eta$ is coulombic efficiency → 1에 근접하지만 1 이하
-
Idea : SOC를 변화시키지 않는 전류들을 제외하고, 변화시키는 전류만 적분
💡 Coulombic Counting method is very hard to use because of lots of noise. (오차 누적)
What about “pack SOC”?
.png)
- pack SOC is ill-defined, so should never be used → 기준이 애매모호
- Issue : 이러한 문제는 cell balancing의 필요성을 제기함
- But we want to know battery pack’s available energy!!
Cell available power estimate
- Estimate must provide moving-window power limits
- HPPC test (Hybrid Pulse Power Characterization)
- 이용가능 전력 추정 방법, 특정 SOC에서의 가용 출력을 측정하는 테스트
- Idea of HPPC
🗯️ Moving-Window Power limits
- Calculate(사용 가능 전력) to enforce design limits (e.g., on cell voltage and current), predictive over $\Delta T$(일반적으로 10~20초) second future time horizon
- Update at a faster rate(사용 가능 전력) than once every $\Delta T$ second
- 즉, 매 초마다 앞으로 $\Delta T$ 초 간 사용가능 한 전력이 얼마인지를 추정!
HPPC discharge power
-
For HPPC discharge power, assume simplified cell model
-
Assume concerning only with keeping cell voltage between $V_{min}$ and $V_{max}$
-
For discharge power, set $R = R_{dis, \Delta T}$ and clamp $v(t) = v_{min}$
.png)
-
Simillar with charge power, set $R = R_{chg, \Delta T}$ and clamp $v(t) = v_{max}$
.png)
-
HPPC test는 평형 상태를 가정 → 따라서 이 경우 power limit을 HPPC test 값보다 낮게 설정!
State-of-health(SOH) - scheme
- BMS must report a battery SOH estimate
- Two measurable indicators change as cell ages naturally
- Capacity decreases 20% to 30%
- Resistance increases 50% to 100%
- Estimating $R_k$ and $Q_k$ as the pack operators will give indicators of life
Summary
- For Battery AI, we gonna consider about SOH-estimate part (배터리의 안정성 부분에 초점)
- Sensing & Monitoring to find specific features that caused Battery Problems!