Measure voltage, current, temperature → From designing Equivalent Cricuit Model!
Defining an Equivalent Circuit Model of Li-Ion Cell
Modeling OCV & SOC
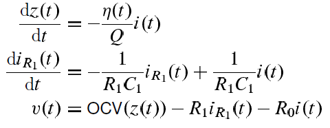
OCV (Open Circuit Voltage)
Difference of electrical potential between two terminal of device
외부회로에서 분리했을 때 장치 자체의 전위차를 의미
Battery에서는 내부저항을 고려한 내부 전압!
Lithium Ion Battery : Diffusion voltage 요소도 추가적으로 고려 → 고유한 특성
SOC (State of Charge)
Level of charge of an electric battery relative to its capacity
용량에 따른 상대적인 충전 수준, 0~100 %
Can be expressed $Z$ value, which is in the range of 0 ~ 1
Coulombic efficiency
(Charge out) / (Charge in) [unit: 충전량]
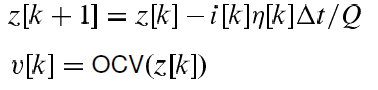
Modeling OCV & SOC - Equivalent Curcuit
Continuous time
Discrete time
🗯️ Coulombic efficiency VS Energy efficiency
Coulombic efficiency, $\eta$ : Cell 효율 문제에 대한 척도! (Cell 표면에서의 전자 배출 ↔ 확산 과정 수치화)
Energy efficiency : 저항에 대한 열 손실 문제에 대한 척도!
Modeling with Thevenin circuit
Based on experimental graph
그래프를 보고 수식에 사용할 소자를 설계하는 방식
Caused by slow diffusion processes in the cell
Voltage dosen’t immediately return to OCV(relaxes gradually)
Example
20 min 동안 constant current(?)로 discharge
20 min ~ 60 min : Resting → Slow diffusion 현상으로 인한 일정 전압 상승
Thevenin model
Modeling with Randles Circuit
Based on electrochemistry
Cell의 전기화학적 특성을 기반으로 설계하는 방식
$R_0$ : Models the electrolyte resistance (전해질 저항)
$R_{ct}$ : is charge-transfer resistance, models voltage drop over the electrode - electrolyte interface due to a load (리튬의 산화-환원 반응에 의해서 생기는 저항)
$C_{d1}$ : is double-layer capacitance, models effect of charges building up in the electrolyte at electrode surface (전기 이중층, 전해질과 전극 표면에서 충전되는 전압 존재)
$Z_w$ : a Warburg impedance, models show diffusion processes (내부 확산 현상을 임피던스로 표현)
Properties
리튬이온 셀에서 $C_{d1}$은 매우 작은 역할을 가지므로, 0 으로 간주할 수 있다!
따라서, $C_{d1}$을 제거하게 되면 Thevenin Cricuit과 유사
Thevenin cricuit is a reasonable description of cell dynamic
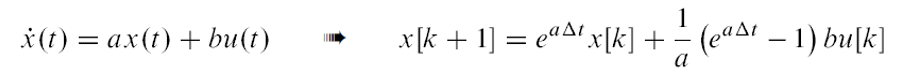
Equation derivation(Circuit model)
General equation ($u(t) : input, \quad x(t): state\; model$)
Generically (When $a \ne 0$),
In the special case (When $a = 0$),
Adapt general equation(above) in our model:
Hysteresis voltages
Hysteresis : the dependence of the state of a system on its history
과거의 정보가 현재의 상태에 영향을 주는 현상
For every SOC, have a range of possible stable “OCV” values
이 때문에 SOC는 안정적으로 가능한 OCV의 범위를 가짐
Example) 40% SOC → OCV는 특정한 점 형태가 아닌 이전 상태에 따라 여러 값을 가짐!
Ignoring can cause large prediction errors! → Must consider…
전압, SOC 측정 시 매우 좋지 못한 현상 → 완전 충전, 완전 방전 부분에서 voltage 값이 튀는 부분
이를 제거하여 SOC와 voltage(OCV)에 대한 single curve를 얻기 위함
Experiment result of setting hysteresis model
전압, SOC 측정 시 매우 좋지 못한 현상 → 완전 충전, 완전 방전 부분에서 voltage 값이 튀는 부분
이를 제거하여 SOC와 voltage에 대한 single curve를 얻기 위함
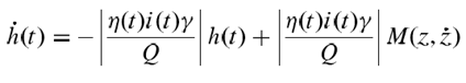
Equation derivation (Hysteresis voltage)
Combining observations with model (SOC에 따른 Hysteresis 상태 변화)
$\gamma$ : 수치 조정해주는 상수 (Positive)
$sgn(\dot z)$ : SOC 변화 방향(부호 +/-)
$M(z,\dot z)$
Appears there is a maximum plus/minus hysteresis, may be SOC dependent : $M(z)$
Amount is positive if cell is presently charging; otherwise negative : $M(z,\dot z)$
$\dot z$ is the sign of charging or discharging
$h(z,t)$ : Actual amount of hysteresis
$M(z,\dot z) - h(z,t)$ term causes hysteresis rate-of-change to be proportional to the distance away from major hystersis loop
So this term is helping us to get this kind of exponential shape of decay (error) of hysteresis towards either the maximum charge or maximum discharge curve.
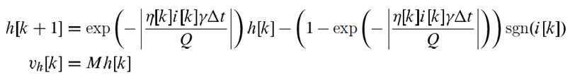
To fit differential equation for $h(z,t)$ into cell model, must manipulate it to be a differential equation in time (not in SOC)
Left side becomes $\dot h(t)$; on right side, note $\dot z sgn(\dot z) = \mid\dot z\mid$ and $\dot z(t) = -\eta(t)i(t)/Q$
Continuous Hysteresis model
Convert to discrete time
Apply general equation and show in discrete time
Untiless hysteresis state
실험 도중(Optimizing model parameter values) 유용한 방정식이 아닌 것이 밝혀져, re-write 한 equation.
Re-write in equivalent but slightly different representation, which has $-1 \leq h[k] \leq 1$
순간적 hysteresis 변화에 따른 model equation ⇒ Dynamic model part에서 다룰 부분!
Defining new value, $s[k]$ which must get 1 or -1
ESC(Enhanced Self-Correction) cell model
Can summarize from below definition!
SOC-OCV
Ohmic R - diffusion V
Hysteresis
ESC : State equation - matrix form
$u[k]$ : 충전/방전 상태, 얼마만큼 속도로 충/방전 되는지
$x[k]$ : SOC - Ohmic R - Hysteresis 상태의 Vector(List) 표현
ESC : Output equation
ESC cell model - Equivalent Circuit
IDEA of ESC cell model
Design function $f$ to predict terminal voltage of cell!
Input : $x[k], u[k]$
$f$ is universal function form for simulation
But, how we know about OCV? Is it defined from manufacturer?
My interpretation of ESC cell model
정의되지 않은 $f$ 를 시뮬레이션을 통해 설계했을 때, 우리는 cell의 terminal voltage $v[k]$ 를 추정할 수 있다
추정한 $v[k]$가 실제 $v[k]$를 잘 following 한다면 우리는 SOC-OCV 정의로부터 $Z[k]$, 즉 $v[k]$ 에 대응하는 보다 정확한 SOC를 추정할 수 있다!
Identify Parameters of Static Model
Long time에 대해 온도 변화에 따른 Coulombic eff & Capacity → OCV & SOC 관계
Cell testing steps
OCV test script #1 (at test temperature)
100% charged, test T
Discharge cell at constant-current c/30 rate until terminal volatge equals $V_{min}$
OCV test script #2 (at test temperature)
Test T
Charge the cell at constant-current rate of C/30 until cell terminal voltage equals $V_{max}$
Cell testing to determine coulombic eff ($\eta$) & capacity($Q$)
The test steps for OCV testing in 25 C
Processing data for 25 C
Coulombic efficiency
Assume 1 when full-charged, full-discharged
Capacity
Processing data for other T
🗯️ Therotical & Experimental properties about total-capacity
Capacity properties
전압 및 전류와 관계 없음!
Therotical : 총 용량은 온도에 의해 변화하지 않음
Experimental : 온도에 의해 변화되는 discharge capacity와 charge capacity를 통해 total capacity를 추정할 수 있음!
리튬 화학물질 : 온도에 따른 Coulombic effiency 변화
총 용량 : 온도에 따른 변화 X
실험을 통한 (충전 용량 - 방전 용량) vs (총 용량) 관계
저온에서 충전-방전 용량이 변화가 일어난다
즉, 상온에서는 총 용량의 therotical properties에 따라 충전-방전 용량도 변화하지 않는다.
Cell testing to determine OCV & SOC(1)
DOD(Depth of Discharge)
$DOD(t)/Q = 1 - SOC(t)$
depth of discharge(t) = total Ah discharged until t - [ $\eta(25C) \; \times$ total Ah charged at 25C until t ] - [ $\eta(T) \; \times$ total Ah charged at temperature T until t ]
Missing data?
Missing discharge V at low SOC because of $V_{min}$ (Before SOC 0% reached)
Missing charge V at high SOC because of $V_{max}$ (Before SOC 100% reached)
IDEA of Approximate OCV
Because of missing data, Approximate OCV is followed charge voltage in low SOC, discharge voltage in high SOC!